본문 바로가기
직장과 돈

2026년 공무원 봉급표 2026 교사 호봉표

by sk2nd 2025. 9. 13.
반응형

2026년 공무원 봉급표 2026 교사 호봉표, 군인 월급 총정리

공무원 보수 3.5% 인상… 9년 만의 최대 인상률

2026년 공무원 봉급이 전년 대비 3.5% 인상됩니다. 이는 2017년 이후 9년 만의 최대 인상률로, 공무원들의 실질임금 보전을 위한 정부의 정책적 의지가 반영된 결과입니다. 2020년까지 민간 임금의 90% 수준이었던 공무원 보수는 최근 83.9% 수준까지 하락했으며, 3년 연속 물가상승률에도 못 미치는 보수 인상률에 대한 개선 요구가 커진 가운데 결정된 인상입니다.

이번 2026년 공무원 봉급 인상률은 일반직 공무원은 물론, 경찰, 소방, 교사, 군인 등 다양한 직렬과 직군에도 동일하게 적용되어 전체 공직사회에 긍정적인 변화가 예상됩니다.


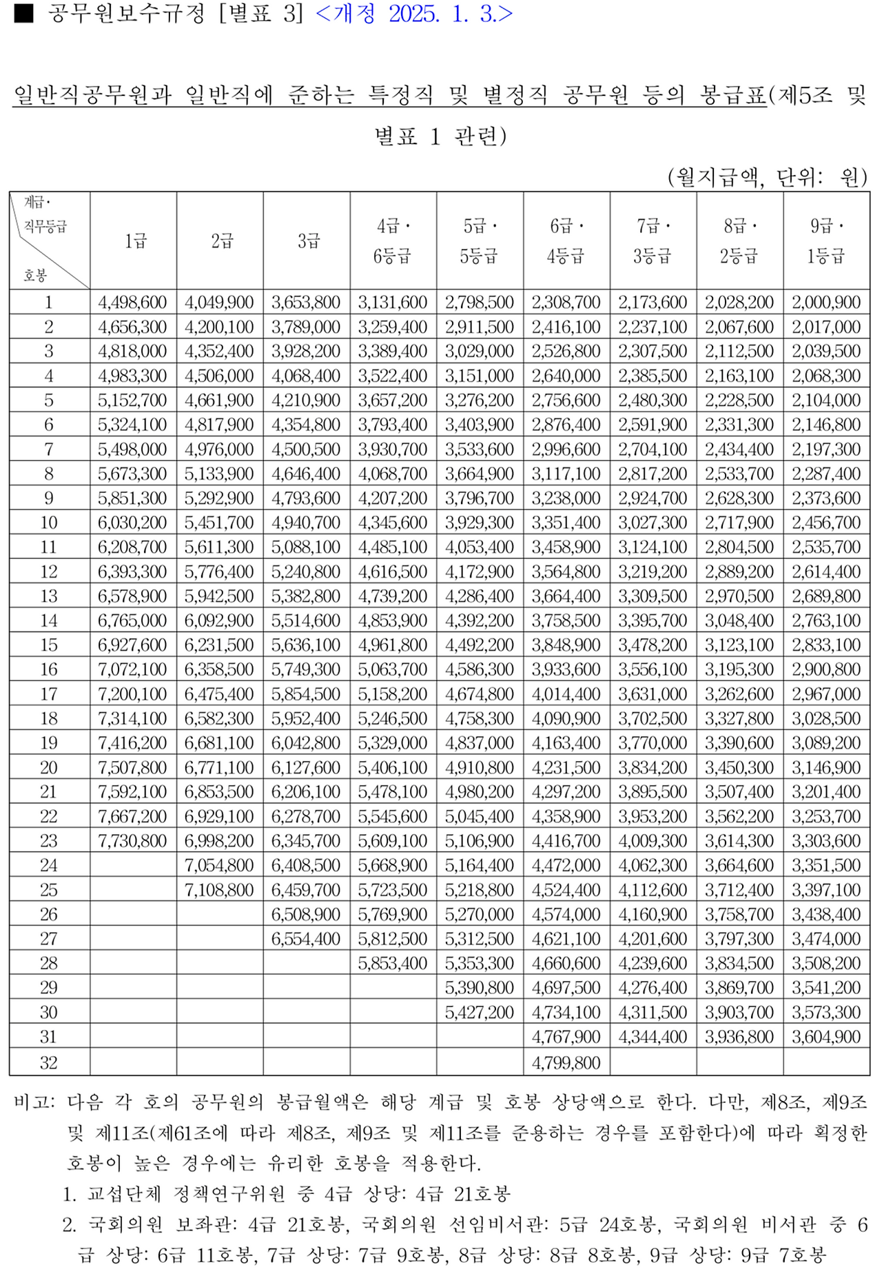
2025년 공무원 봉급표

2026년 공무원 봉급표 (일반직렬 9급~1급 기준)

일반직렬 2026년 공무원의 봉급표는 3.5% 인상이 반영된 구조로 다음과 같이 제시됩니다. 아래는 주요 직급의 1호봉과 상위 호봉별 주요 금액 요약입니다.

일반직 공무원 봉급표 2026 요약 (일부 발췌)

직급 1호봉 10호봉 20호봉 30호봉
1급 4,656,100원 6,241,300원 7,770,600원 -
4급 3,241,200원 4,497,700원 5,595,300원 5,617,200원
5급 2,896,400원 4,066,800원 5,082,700원 4,899,800원
6급 2,389,500원 3,468,700원 4,379,600원 4,462,400원
7급 2,249,700원 3,133,300원 3,968,400원 4,040,300원
8급 2,099,200원 2,813,000원 3,571,100원 3,698,400원
9급 2,070,900원 2,542,700원 3,257,000원 3,698,400원

※ 최고 호봉은 직급마다 상이하며, 9급은 최대 31호봉까지 제공됩니다.

※ 상위 직급일수록, 그리고 호봉이 올라갈수록 급여도 급격히 증가합니다.


2026년 교사 호봉표 (2026 교육공무원 봉급표)

교원은 유치원, 초등학교, 중학교, 고등학교 교사를 포함하며, 호봉제로 운영됩니다. 일반 공무원과는 달리 직급 구분 없이 호봉에 따른 봉급이 책정되며, 최대 40호봉까지 있습니다.

2026년 교사 호봉표 요약

2026년 교사 호봉표 2026 교육공무원 봉급표

호봉 봉급 호봉 봉급
1호봉 1,982,100원 21호봉 3,600,700원
5호봉 2,224,800원 25호봉 4,129,400원
10호봉 2,471,400원 30호봉 4,826,800원
20호봉 3,481,000원 40호봉 6,205,700원
  • 교사 봉급표의 경우 40호봉까지 승급 가능하며, 정년까지 일정 간격으로 호봉 승급이 이루어짐.
  • 20호봉 이후에도 매년 약 130,000원~200,000원가량의 인상폭이 지속됩니다.
  • 기간제 교원의 경우, 교육부장관의 고시에 따라 별도 지급기준이 적용되며, 고정급 형태로 계약합니다.

2026년 군인 봉급표: 병사 월급은 별도

군인 월급 또한 공무원 보수 인상률에 따라 전체적으로 3.5% 인상되었습니다. 준위 이하 부사관 및 장교급은 다음과 같이 조정되었습니다. (병사 봉급은 병역특례제도에 따라 별도 규정)

2026년 군인 봉급표  (2026 부사관, 장교 기준)

2026 군인 월급

계급 1호봉 10호봉 20호봉
소장 6,099,000원 7,457,200원 -
준장 5,753,700원 7,098,800원 -
대령 4,671,200원 6,085,200원 -
중령 4,105,800원 5,518,900원 -
소령 3,382,700원 4,762,200원 -
대위 2,805,000원 4,052,900원 -
중위 2,239,600원 2,862,900원 -
소위 2,087,900원 - -
준위 2,544,300원 3,634,200원 4,845,100원
원사 3,568,100원 4,593,600원 5,087,300원
상사 2,468,000원 3,453,500원 4,139,700원
중사 2,118,000원 2,911,400원 3,935,000원
하사 2,070,900원 2,310,900원 -

※ 병사 월급은 2026년에는 동결입니다.


2026년 경찰공무원·소방공무원 봉급표

특정직 공무원에 해당하는 경찰·소방공무원도 일반직과 동일하게 3.5% 인상률이 적용됩니다.

2026년 경찰·소방공무원 봉급표 요약

계급 1호봉 10호봉 20호봉
치안정감 4,905,100원 6,490,300원 8,019,600원
경무관 4,167,700원 5,499,700원 6,728,100원
총경 3,619,000원 4,875,500원 5,973,100원
경정 3,126,100원 4,296,500원 5,312,300원
경감 2,698,600원 3,820,800원 4,768,800원
경위 2,434,700원 3,490,700원 4,399,300원
경사 2,400,200원 3,276,600원 4,111,700원
순경 2,070,900원 2,680,900원 3,395,400원

※ 계급별로 상한 호봉 수는 다르며, 평균 24~30호봉까지 운영됩니다.

※ 특수직렬인 만큼, 근무강도 및 위험수당이 많은 편입니다.

승진 시 주요 임금 상승폭 예시

  • 소방사(1호봉) → 소방장(1호봉): 약 330,000원 증가
  • 소방위(1호봉) → 소방령(1호봉): 약 920,000원 증가

공무원 직종별 추가 수당 및 고려사항

  • 가족수당: 배우자 및 자녀 수에 따라 차등 지급
  • 명절휴가비: 기본급의 일정 비율을 기준으로 상·하반기 지급
  • 연가보상비: 사용하지 못한 연차를 현금으로 보상
  • 정근수당: 6개월마다 지급되는 성과급 개념의 정기 수당
  • 특수지근무수당: 도서·벽지·접경지역 등 특정지역 근무 시 추가 지급

결론: 직군별 맞춤형 인상으로 실질임금 회복 도모

2026년 공무원 보수 인상률은 단순히 숫자상의 인상이 아닌, 공직사회의 사기 진작과 민간과의 임금 격차를 해소하기 위한 정책적 결정입니다. 특히 군인, 교사, 경찰, 소방 등 실무직군의 보수가 현실에 맞게 조정되어, 공공서비스의 질적 향상에 긍정적인 영향을 줄 것으로 기대됩니다.

정리하면, 내년은 다음과 같은 구조로 봉급이 책정됩니다.

  • 일반직 공무원: 9급 1호봉 기준 2,070,900원, 최대 3,698,400원
  • 교사: 1호봉 1,982,100원 → 40호봉 6,205,700원
  • 군인: 소위 2,087,900원, 대령 약 6,000,000원 이상
  • 경찰·소방공무원: 순경 2,070,900원, 치안정감 8,000,000원 이상

2026년 공무원 봉급은 9년 만에 최고 인상률(3.5%)을 기록하며, 물가와 민간 임금 상승에 뒤처진 보수 수준을 일부 만회하려는 정책적 의도를 담고 있습니다. 일반직뿐만 아니라 교사, 군인, 경찰, 소방 공무원 등 주요 공직군 전체에 걸쳐 인상률이 반영되며, 전체적인 공직사회 사기진작과 청년층 유입 활성화를 기대할 수 있습니다.

다만, 여전히 민간 대비 경쟁력이 부족하다는 지적도 있으며, 앞으로의 공무원 보수정책은 단순 인상률이 아닌 성과급 체계 강화, 복지제도 개편, 수당체계 개편 등을 포함한 종합 개편이 필요할 것으로 보입니다.


반응형

'직장과 돈' 카테고리의 다른 글

공무원 봉급표 2025  (0) 2025.09.15
의전서열 순위, 권력서열  (0) 2025.09.14
경찰 직급체계 – 계급장부터 직위까지  (0) 2025.09.10
공무원 직급체계 직급표 직위  (0) 2025.09.05
가을 꽃게철 가격  (0) 2025.08.30