공무원 봉급표 2025
2025년 1월 3일 시행된 공무원 보수규정 개정(대통령령 제35181호)은 전체 평균 3% 인상과 함께 저연차 공무원 처우 개선을 핵심 축으로 삼았습니다. 동시에 정부는 2026년도 예산안에서 공무원 보수 3.5% 인상 방침을 확정해 2년 연속 실질 인상 기조를 제시했습니다.



이 글은 2025년 공무원 봉급표 구조와 직군별 특징을 정리하고, 2026년 3.5% 인상률을 활용해 내 월급 전망을 스스로 산출하는 방법까지 한 번에 정리합니다.
2025년 공무원 봉급표 개정의 법적 기반과 큰 그림



- 시행일과 근거: 공무원보수규정 일부개정령은 2025년 1월 3일 공포·시행되었고, 같은 날자 대통령령 제35181호로 정리됩니다. 적용례는 2025년 1월 1일 이후 지급 보수부터입니다.
- 인상 기조: 2025년 보수는 전년 대비 평균 3.0% 인상, 저연차 실무자 중심의 추가 인상과 현장·가족 친화 정책 보강이 함께 결정되었습니다.
- 연결되는 2026: 2026년은 3.5% 인상으로 확정되어 2017년 이후 최대 폭입니다. 2025년의 구조(저연차 보강) 위에 2026년의 정률 인상이 중첩될 가능성이 높습니다.
2025년 공무원 봉급표 핵심 변화 포인트 한눈에 보기
- 저연차(초임~저호봉) 보강: 9급·8급 초기 호봉, 교사 저호봉, 경찰·소방 초임 구간에서 체감 인상 폭이 상대적으로 크도록 설계.
- 현장·가족 친화: 육아휴직 경력 인정 확대 등 인사·보수 관계 법령 개정 병행, 현장 공무원 지원 강화.
- 운영 지침 정비: 인사혁신처 예규(‘2025 공무원보수 등의 업무지침’)로 적용 세부를 안내.
직군별 공무원 봉급표 2025 해설

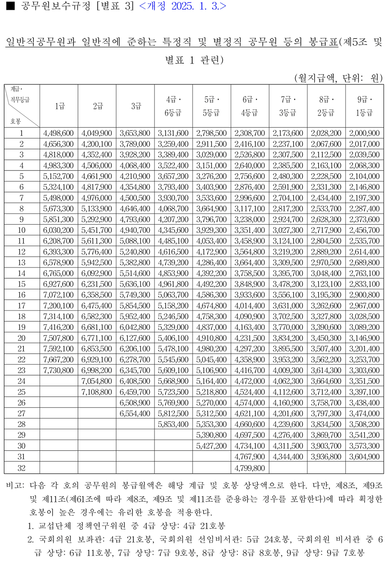
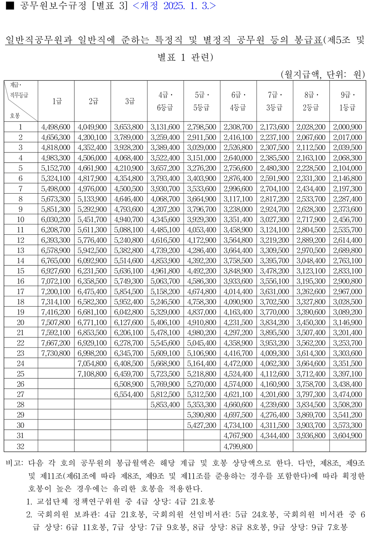
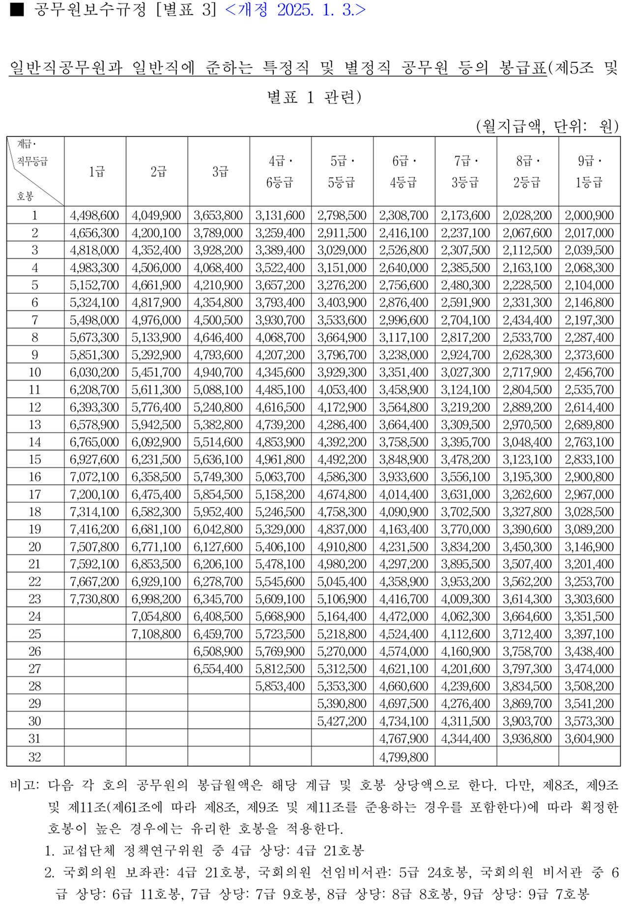
일반직(국가·지방) 공무원 봉급표 2025
- 구조: 직급(9급→1급)과 호봉으로 구성된 기본급 체계이며, 직무·근무여건에 따라 각종 수당이 붙습니다.
- 2025 포인트: 평균 3% 인상에 더해 초임·저호봉의 체감 인상을 키워 초기 진입 장벽을 낮춤. 조직 전체의 승급·근속 인센티브와 균형을 맞추는 방향입니다.
일반직 실수령액 계산 예시 로직
- 계산 뼈대: 실수령 = 기본급 + 정액수당(정액급식비·직급보조비 등) + 가산수당(시간외·특수근무·교통 등) - 공제(연금기여금·건강보험·장기요양·소득세·지방소득세).
- 주의: 공무원은 통상 고용보험 미적용이며, 기관별·개인별 수당 편차가 큽니다. 실제 금액은 근무형태·가족 현황·초과근로에 따라 유의미하게 달라집니다.
교육공무원 봉급표 2025 (유·초·중·고 교원 및 국립대 교원)

- 구조: 교원은 호봉제 중심이며, 담임·교원연구·교직수당 등 교직 특화 수당이 결합됩니다.
- 2025 포인트: 평균 3% 인상 기조에 더해 교직의 경력 보상과 수업·생활지도 부담을 반영. 기간제 교원은 고정급 형태로 지급하되 근무시간·계약 조건에 따라 산정됩니다.
- 국립대 교원: 총장 등 일부 보직은 고정급·연봉한계 체계가 별표로 관리됩니다.
교원 실수령 체크리스트
- 담임·보직·학급규모·근무지 등 요소로 수당이 달라지므로, 인사·재무부서가 배포하는 내부 산정표를 꼭 확인하세요.
- 방학 중에도 행정·연수·생활지도 등이 있으면 수당·초과근로 인정 범위가 기관별로 다를 수 있습니다.



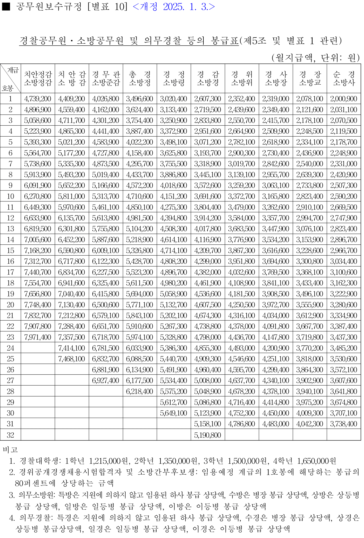
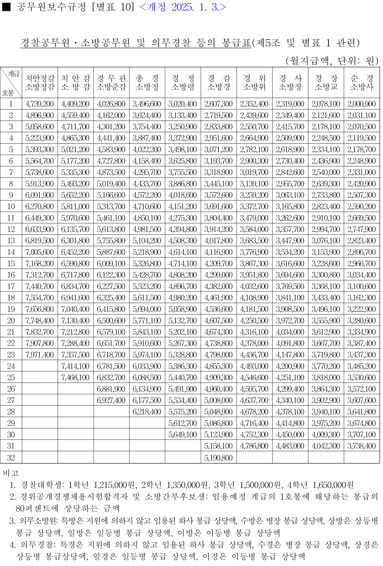
소방 경찰 공무원 봉급표 2025

- 구조: 순경→치안총감까지 계급 구조, 위험·야간·시간외 등 현장형 수당의 비중이 큽니다.
- 경찰대학생 월급(2025): 1학년 1,215,000원, 2학년 1,350,000원, 3학년 1,500,000원, 4학년 1,650,000원.
- 구조: 화재·구조·구급 등 고위험 직무 특성이 반영되어 위험·특수업무수당이 핵심.
- 2025 포인트: 초임 소방사 체감 개선과 함께 화재경계·출동 빈도, 야간·휴일 비율에 따른 가산수당이 실지급에 큰 영향.
- 2025 포인트: 초임 구간 보강 및 현장활동 수당 체계 정비로 실수령 체감 개선.
현장형 계산 팁
- 순찰·형사·사이버 등 직무별 특수근무수당과 야간·연장이 실수령을 좌우합니다.
- 동일 계급·호봉이라도 교대제 편성, 사건·사고 빈도, 부서 특성에 따른 시간외 인정량 차이가 큽니다.










특수성 유의
- 현장 노출 빈도와 교대형태(2교대·3교대·필수공휴일 근무 등)에 따라 시간외·야간·휴일근무수당이 크게 달라집니다.
- 구조·구급센터, 화학·고층·해상 등 전문화 팀 배치 시 별도 가산이 있을 수 있습니다.
2025년 군인 월급

- 지휘부 고정급(2025) 예시: 대장 9,293,500원, 중장 9,127,800원, 소장 8,762,000원, 준장 8,213,000원.
- 사관생도(2025) 예시: 1학년 1,215,000원 → 4학년 1,650,000원.
- 병사(2025) 참고자료 기준: 이등병 750,000원, 병장 1,500,000원.
- 유의: 병·부사관·장교는 작전·군사훈련·격오지·항해·항공·잠수 등 특수수당 유무에 따라 실지급 편차가 큽니다.



2026년 3.5% 인상률을 반영한 ‘셀프 전망’ 가이드
2026년 확정 인상률 3.5%를 2025년 기본급에 단순 곱하면 1차 전망치를 얻습니다. 이후 직군별 가중 인상(저연차 보강 등)·수당 체계 변경이 있으면 다시 미세 조정해야 합니다.
계산식
- 기본식: 2026 예상 기본급 ≈ 2025 기본급 × 1.035
- 예시: 2025 기본급이 2,000,000원이라면 2026은 약 2,070,000원.
- 주의: 실제 봉급표는 별표 단가 조정으로 호봉별 절대액이 미세하게 다를 수 있습니다. 또한 수당은 정액·정률이 혼재하므로, 개별 수당의 2026년 개정 공고를 확인해야 정확도가 올라갑니다.



직군별 관전 포인트
- 일반직: 2025년 저연차 보강 기조가 유지되면 2026년에도 초임·저호봉의 체감 인상이 평균치(3.5%)보다 조금 더 크게 느껴질 수 있습니다.
- 교육직: 담임·보직·근무여건 수당의 개정 여부가 실수령에 직접 영향.
- 경찰·소방: 시간외·야간·위험수당의 정액 단가 변동 여부가 핵심.
- 군: 특수임무·격오지·항해·항공수당 등 가산 항목의 단가 조정 여부를 확인하세요.



실수령액을 현실적으로 잡는 방법
1단계 - 기본급 확인
- 2025년 나의 직급·호봉에 해당하는 기본급 단가를 확인합니다. 인사부서가 제공하는 봉급표 원본을 기준으로 합니다.
2단계 - 정액성 수당 합산
- 정액급식비, 직급보조비, 가족수당, 교통보조 등 정액성 항목을 모두 더합니다.
- 가족수당은 배우자 유무·자녀 수에 따라 금액이 달라집니다.


3단계 - 가산성 수당 추정
- 시간외근무수당: 기관·부서의 편성, 본인의 실제 연장 근로 시간에 따라 달라집니다.
- 특수근무·위험·야간·휴일수당: 직무 특성과 근무표(교대제)에 따라 산정합니다. 경찰·소방·현업부서는 변동 폭이 큽니다.
4단계 - 공제 추정
- 공무원연금 기여금(보수월액 기준), 건강보험·장기요양, 소득세·지방소득세를 차감합니다.
- 공무원은 일반적으로 고용보험 미적용이므로 해당 항목을 제외합니다.
- 소득세는 간이세액표로 추정 후 연말정산에서 정산됩니다.
5단계 - 민감도 점검
- 시간외 10시간 증감, 자녀 1명 추가, 야간근무 주 1회 증가 같은 시나리오를 바꿔보며 월별 편차를 점검합니다.
- 2026년 3.5% 인상을 적용한 연동 시나리오를 추가로 계산해 내년 현금흐름을 미리 가늠합니다.

수당·복리후생 체크리스트(2025 관점)
- 정액급식비·직급보조비: 모든 직군에 폭넓게 적용되는 생활형 수당.
- 가족수당: 배우자·자녀 수에 따라 차등. 다자녀 가산이나 특정 요건 가산이 있을 수 있음.
- 시간외근무수당: 사무·현업 구분, 기관 상한, 인증 방식에 따라 실지급 편차가 큽니다.
- 위험·특수근무수당: 경찰·소방·현업·군 특수임무 요건 반영.
- 명절휴가비: 설·추석 기준, 지급 기준과 산정식은 규정과 기관별 예산에 따름.
- 육아·가족 친화: 2024년 말 의결된 제도 개선으로 육아휴직 경력 인정 확대 등 여건 개선이 병행됩니다.







직군별 ‘체감’ 포인트 정리
일반직
- 초임 구간에서 실질 체감 개선이 두드러짐.
- 승급·승진과 결합할 때 연말 기준의 연평균 실수령이 눈에 띄게 달라질 수 있음.
교육공무원
- 담임·보직 여부, 학사 운영 일정, 방학 중 근무 실적이 수당 구성에 영향.
- 기간제 교원은 계약조건·근무시간에 따라 고정급 산정.
경찰
- 야간·휴일·위험수당과 사건 대응 시간외가 실수령의 핵심 변수.
- 경찰대학생은 학년별 정액 구조로 예측 용이.
소방
- 화재·구급 출동 빈도, 교대제, 전문팀 배치에 따라 실지급이 크게 달라짐.
- 고위험 노출장면이 많을수록 가산수당의 비중이 커짐.
군인
- 지휘·참모 보직 여부, 훈련·작전 강도, 격오지·해상·항공·잠수 가산에 따라 편차 큼.
- 병·부사관·장교 간 수당 구조가 달라 대각선 비교는 금물.






FAQ
Q1. 2025와 2026 사이 ‘언제부터’ 인상이 반영되나요?
- 2025년 개정은 1월 1일 이후 지급분에 적용됩니다. 2026년 3.5% 인상도 동일하게 해당 연도 봉급표 공포 후 1월분부터 소급·적용되는 것이 일반적입니다. 구체적 세부는 해당 연도 공무원보수규정 별표와 기관 통지로 확정됩니다.
Q2. 지방공무원도 동일하게 적용되나요?
- 원칙적으로 국가·지방 모두 같은 인상 기조를 따르지만, 세부 수당·운영은 지방 규정과 예산에 따라 달라질 수 있습니다. 정책브리핑·행안부 고시를 통해 매년 공지됩니다.
Q3. 신규 임용 1호봉 책정은 어떻게 되나요?
- 임용 전 경력(군 경력·민간 경력 등)의 경력환산 인정 범위에 따라 달라지며, 인사혁신처 예규·기관 내규에 따라 초과호봉이 부여되기도 합니다.
Q4. 2026년 3.5% 인상은 실수령에 얼마나 영향을 줄까요?
- 기본급은 단순히 ×1.035로 추정 가능하나, 정액수당은 그대로일 수 있고 정률수당은 함께 올라갈 수 있습니다. 세액·보험료도 소득 증가에 연동되어 공제액이 늘 수 있으므로, 순증폭은 기본급 증가율보다 약간 낮게 체감될 수 있습니다.
Q5. 교대·야간·현장 비중이 큰 직무는 어떻게 전망하나요?
- 2026년에도 정액·정률 수당 단가 변동이 병행될지 여부가 핵심입니다. 정부가 예산안·시행령 별표로 단가를 조정하면 실수령 변동 폭이 커집니다. 해당 연도 공포문과 기관 공지를 꼭 확인하세요.
마무리
2025년 공무원 봉급체계는 평균 3% 인상 + 저연차 보강으로 체감 개선을 노렸고, 2026년 3.5% 인상 확정으로 상승 흐름을 잇게 되었습니다. 다만 월급은 기본급 + 다층적 수당 - 공제라는 구조적 특성 때문에 직무·근무형태·가족 구성·기관 관행에 따라 실수령이 크게 달라집니다. 가장 현명한 방법은 ① 2025년 내 급여명세서를 기준으로 ② 2026년 3.5%를 가산한 뒤 ③ 수당 단가 변동과 소득공제 변수를 하나씩 업데이트하는 것입니다. 올해와 내년에 걸친 이중 인상 구간은 경력 구간별 임금 구조를 재정렬하는 시기이기도 합니다. 신규·저연차는 체감 개선, 중·고연차는 안정적 상승을 기대할 수 있습니다.
참고·근거
- 공무원보수규정 일부개정령(대통령령 제35181호), 시행 2025.1.3.
- 인사혁신처 보도자료: 2025년 공무원 보수 3.0% 인상, 저연차·현장 지원 강화.
- 2026년도 예산안: 공무원 보수 3.5% 인상 확정 관련 보도.
- 2025 공무원보수 등의 업무지침(예규 제192호) 및 관련 자료.
'직장과 돈' 카테고리의 다른 글
| 삼우제 날짜 계산, 상차림 비용, 장례비 공제 (0) | 2025.10.08 |
|---|---|
| 2026년 공무원연금 인상률, 9월 물가상승률 (0) | 2025.10.07 |
| 의전서열 순위, 권력서열 (0) | 2025.09.14 |
| 경찰 인사 발령 치안감 치안정감 승진자 명단 - 한창훈, 박정보, 황창선, 엄성규, 김성희 (0) | 2025.09.13 |
| 2026년 공무원 봉급표 2026 교사 호봉표 (0) | 2025.09.13 |