본문 바로가기
직장과 돈

소방 공무원봉급표2026

by sk2nd 2026. 4. 27.
반응형

소방 공무원봉급표2026

2026년 기준 소방공무원 봉급체계는 공무원 보수 규정 개정에 따라 안정성과 단계적 상승 구조를 동시에 갖춘 형태로 유지되고 있습니다.

특히 소방직은 일반 행정직과 달리 현장 위험도가 매우 높은 직군이기 때문에 기본급 외 각종 수당이 중요한 역할을 하며, 실수령액 기준으로 체감 급여는 상당히 달라질 수 있습니다. 또한 계급과 호봉에 따라 급여 격차가 뚜렷하게 발생하는 특징이 있어, 장기 근속 시 급여 상승 폭이 매우 크다는 점도 중요한 포인트입니다.

소방 공무원봉급표2026소방 공무원봉급표2026
2026 소방 공무원봉급표

본문에서는소방 공무원봉급표2026를 기반으로 계급별 급여 수준, 수당, 복지 혜택까지 종합적으로 정리합니다.

소방 공무원봉급표2026

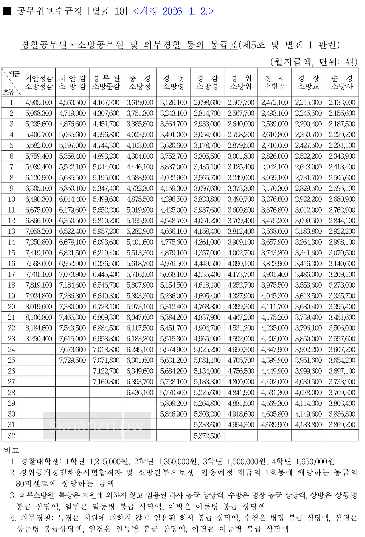
2026년 소방공무원 봉급표는 경찰공무원과 동일한 계급 체계를 기준으로 구성되며, 호봉제에 따라 매년 일정 비율로 기본급이 상승합니다.

소방 공무원봉급표2026

아래는 주요 계급 기준 월 기본급 흐름을 소방 공무원봉급표2026로 정리한 내용입니다.

  • 소방사(9급)
    • 1호봉 약 2,133,000원 수준
    • 10호봉 약 2,680,000원 수준
    • 20호봉 약 3,395,000원 수준
  • 소방교(8급)
    • 1호봉 약 2,215,000원
    • 10호봉 약 2,922,000원
    • 20호봉 약 3,680,000원
  • 소방장(7급)
    • 1호봉 약 2,472,000원
    • 10호봉 약 3,276,000원
    • 20호봉 약 4,111,000원
  • 소방위(6급)
    • 1호봉 약 2,507,000원
    • 10호봉 약 3,490,000원
    • 20호봉 약 4,399,000원
  • 소방경(5급) 이상 간부급
    • 1호봉 약 2,698,000원 시작
    • 중간 관리자급 4,000,000원 이상
    • 고위직 5,000,000원 이상 가능

이처럼 소방공무원은 동일 계급 내에서도 호봉에 따라 급여 차이가 상당히 크게 발생하며, 장기 근속 시 실질적인 소득 상승 효과가 매우 크다는 특징이 있습니다. 특히 15호봉 이후부터 급여 상승 폭이 눈에 띄게 증가하는 구조입니다.

소방공무원 주요 수당 정리

소방공무원의 실제 수입을 이해하려면 기본급보다 수당 구조를 함께 봐야 합니다. 위험직군 특성상 다양한 수당이 포함되어 실수령액을 크게 좌우합니다.

  • 위험근무수당
    • 화재 진압 및 구조 활동에 따른 위험 보상
    • 월 약 60,000원~100,000원 이상
  • 특수업무수당
    • 구조, 구급, 항공대 등 특수 업무 수행 시 지급
    • 직무에 따라 차등 지급
  • 야간근무수당
    • 교대근무 시 야간 근무 시간에 비례 지급
    • 월 수십만 원 수준 가능
  • 초과근무수당
    • 재난 대응 및 비상근무로 인해 빈번하게 발생
    • 실제 소득 증가 핵심 요소
  • 정액급식비
    • 약 140,000원 내외 지급
  • 가족수당
    • 배우자 및 자녀 수에 따라 지급
  • 명절휴가비
    • 기본급의 일정 비율로 설날, 추석 지급
  • 성과상여금
    • 근무평가 결과에 따라 연 1회 이상 지급

이러한 수당을 모두 포함할 경우 초임 소방사 기준 실수령액은 250만 원~300만 원 수준까지 올라갈 수 있으며, 중간 계급 이상에서는 400만 원~500만 원 이상도 충분히 가능합니다.

소방공무원 복지 혜택

소방공무원은 국가직 공무원으로서 다양한 복지 혜택을 제공받습니다. 특히 직무 특성상 복지 제도가 매우 중요하게 작용합니다.

  • 공무원 연금
    • 퇴직 후 안정적인 연금 수령 가능
  • 공무원 복지포인트
    • 연간 일정 금액 지급, 의료·문화·여가 활용 가능
  • 의료 지원
    • 공무원 전용 의료 혜택 및 할인

  • 주거 지원
    • 공무원 임대주택 또는 주택자금 대출 지원
  • 휴가 제도
    • 연차, 병가, 특별휴가 등 다양한 휴가 보장
  • 재해보상 제도
    • 공무 수행 중 부상 및 사고 시 보상 체계 구축
  • 교육 및 자기개발 지원
    • 직무 교육 및 학위 과정 지원

이와 같은 복지 혜택은 단순 급여 외에 장기적인 직업 안정성을 높이는 중요한 요소로 작용합니다.

소방공무원 계급별 역할과 급여 특징

소방공무원은 계급별로 수행하는 역할이 명확하게 구분되며, 이에 따라 급여 구조도 달라집니다.

  • 소방사(9급)
    • 화재 진압, 구조, 구급 등 현장 실무 담당
    • 초임이지만 수당 비중이 높아 실수령액 안정적
  • 소방교(8급)
    • 팀 단위 업무 수행, 선임 역할 수행
    • 근속에 따른 급여 상승 체감 시작
  • 소방장(7급)
    • 팀 리더 역할, 현장 운영 책임 증가
    • 수당 비중 확대 및 급여 상승 가속
  • 소방위(6급)
    • 간부급 진입, 부서 운영 및 지휘
    • 급여 상승 폭 크게 증가
  • 소방경 이상
    • 정책 및 조직 관리 중심 역할
    • 책임 증가와 함께 고소득 구조 형성

이처럼 계급이 올라갈수록 단순 실무에서 관리 중심으로 역할이 변화하며, 급여 역시 급격하게 증가하는 구조를 보입니다.

결론

2026년 소방공무원 봉급체계는 기본급과 수당이 결합된 안정적인 구조를 유지하면서도 장기 근속에 따른 보상이 명확한 시스템으로 운영되고 있습니다.

특히 초임 단계에서는 수당 비중이 높아 실질적인 생활 안정성을 확보할 수 있으며, 중간 계급 이후부터는 급여 상승 폭이 크게 확대되어 직업적 매력이 더욱 높아지는 특징이 있습니다.

또한 연금, 복지포인트, 의료 지원 등 다양한 복지 혜택까지 고려하면 단순 급여 이상의 가치가 있는 직업군으로 평가할 수 있습니다.

위험성과 책임이 큰 직무이지만 그에 상응하는 보상 체계를 갖춘 대표적인 공공 안전 직군이라고 볼 수 있습니다.

반응형