공무원 봉급표2026
공무원 봉급표는 단순한 급여표가 아니라 국가 인사행정과 재정 운용의 방향성을 가장 직관적으로 보여주는 지표입니다. 매년 발표되는 봉급 인상률과 직급·호봉별 금액 변화는 현직 공무원뿐 아니라 수험생, 공공기관 종사자, 정책 연구자에게도 중요한 관심사가 됩니다. 2026년 공무원 봉급표는 2025년 대비 3.5% 보수 인상률이 반영된 것이 핵심 특징이며, 최근 물가 상승 흐름과 민간 임금 수준을 일정 부분 고려한 결과로 해석할 수 있습니다. 다만 체감 효과는 직군과 직급, 근속 연수에 따라 상당한 차이가 발생하므로 단순한 인상률 숫자만으로 평가하기에는 한계가 있습니다.

아래에서는 공무원 봉급표2026의 구조와 적용 원리, 직군별 특징을 중심으로 정리해 보겠습니다.
공무원 봉급표2026의 기본 구조
공무원 봉급표2026는 기존 공무원보수규정의 틀을 유지하면서 전년도 금액을 기준으로 3.5% 인상된 수치가 적용됩니다. 봉급은 기본급 개념에 해당하며, 실제 수령액은 각종 수당이 더해진 총보수 형태로 결정됩니다. 봉급표를 이해하기 위해서는 먼저 봉급체계의 기본 구성을 정확히 짚을 필요가 있습니다.



공무원 봉급은 직급과 호봉이라는 이중 구조로 설계되어 있으며, 직급은 직무의 책임과 난이도를, 호봉은 근속 연수를 반영합니다. 같은 직급이라도 호봉이 높을수록 봉급이 상승하고, 동일 호봉이라도 직급이 높으면 기본급 자체가 크게 달라집니다. 이러한 구조는 장기근속을 유도하고 조직 안정성을 확보하는 데 목적이 있습니다.
- 직급 체계: 9급부터 1급까지 일반직 기준 단계적 구분
- 호봉 체계: 근속 연수에 따라 1호봉부터 순차 상승
- 적용 방식: 2025년 봉급액에 3.5% 인상률 반영
- 법적 근거: 공무원보수규정 및 별표 봉급표



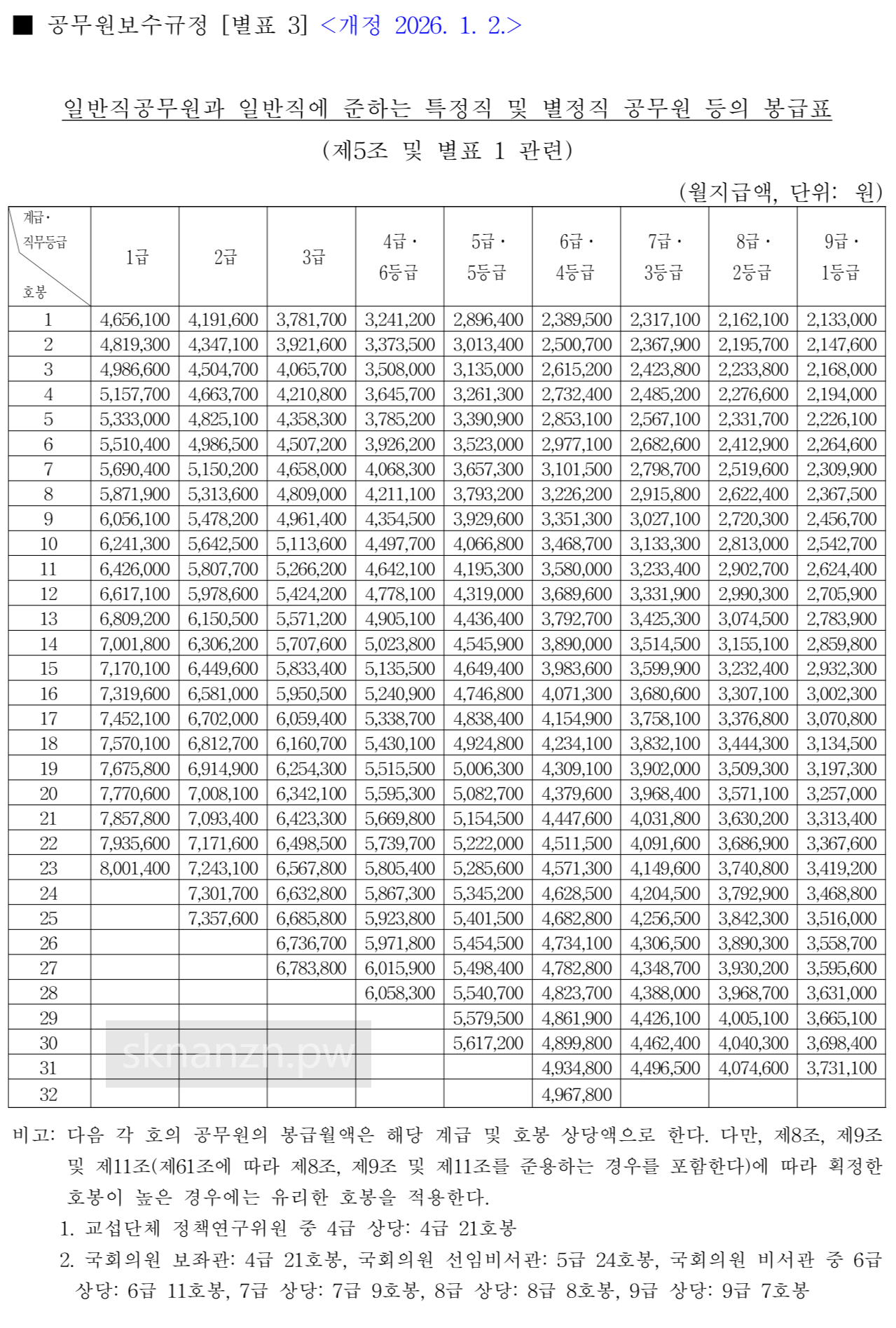
일반직 공무원 봉급표의 특징
일반직 공무원 봉급표는 가장 많은 인원이 적용받는 기준표로, 다른 직군 봉급의 기준점 역할을 합니다. 2026년 일반직 봉급표 역시 2025년 대비 3.5% 인상되었으며, 저연차 구간과 고연차 구간 모두 동일한 인상률이 적용되었습니다. 다만 금액 기준으로 보면 고호봉일수록 인상액 절대값이 더 커지는 구조입니다.

9급 초임 공무원의 경우 기본급 인상 폭은 체감상 제한적일 수 있으나, 근속이 쌓일수록 매년 누적되는 인상 효과가 발생합니다. 반면 5급 이상 관리직 구간에서는 인상률 자체보다도 책임과 업무 강도가 함께 고려되어야 하므로 단순 비교는 적절하지 않습니다.
- 9급 초임: 상대적으로 낮은 기본급이지만 안정적 상승 구조
- 7급·6급: 조직의 실무 핵심 구간으로 봉급 상승 폭이 점진적으로 확대
- 5급 이상: 관리·정책 결정 역할 중심, 봉급 외 성과·책임 요소 중요
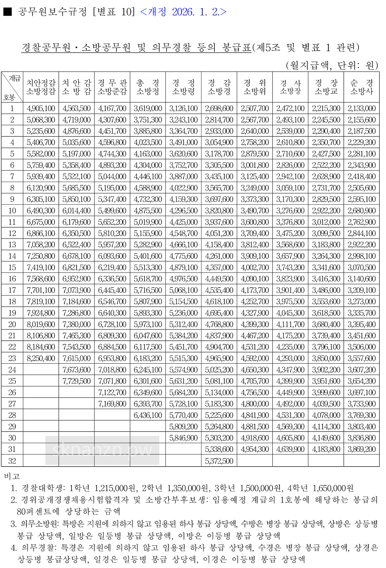
경찰·소방공무원 봉급표 적용 방향
경찰공무원과 소방공무원 봉급표는 일반직과 유사한 구조를 가지면서도 직무 특수성이 반영된 별도의 표를 사용합니다. 2026년에도 동일하게 3.5% 인상률이 적용되었으며, 계급과 근속에 따른 봉급 체계는 유지됩니다.

경찰과 소방 직군의 경우 봉급 외에 위험근무수당, 현장근무수당 등의 비중이 높아 실제 체감 보수는 기본급 이상으로 평가되는 경우가 많습니다. 따라서 봉급표만으로 전체 보수를 판단하기보다는 수당 구조까지 함께 고려하는 것이 합리적입니다.
- 경찰공무원: 순경부터 치안정감까지 계급별 봉급 적용
- 소방공무원: 소방사부터 소방정감까지 단계적 봉급 체계
- 공통 사항: 위험도와 현장성 반영 수당 비중 높음



교원 공무원 봉급표의 구조적 특성
교원 봉급표는 유치원·초등학교·중학교·고등학교 교원과 국립대학 교원을 구분하여 운영됩니다. 2026년 교원 봉급표 역시 전년 대비 3.5% 인상되었으며, 호봉 상승에 따른 증가 폭이 비교적 명확하게 나타나는 구조입니다.


교원의 경우 일반직과 달리 호봉 상승 속도가 빠르게 느껴질 수 있으며, 연구활동비나 각종 교육 관련 수당이 함께 지급되는 특징이 있습니다. 특히 장기 근속 교원의 경우 봉급 상승 누적 효과가 크기 때문에 중장기적 관점에서 안정성이 높다는 평가를 받습니다.
- 초·중·고 교원: 호봉 중심 봉급 체계
- 국립대 교원: 직급·호봉 병행 구조
- 특징: 교육·연구 관련 수당 비중 존재



군인봉급표 2026










연구직·전문직 공무원 봉급표
연구직공무원과 전문경력관 등은 일반직과는 다른 봉급표를 적용받습니다. 이들 직군은 전문성, 연구 성과, 직무 특수성이 강조되며 봉급 수준 역시 일반직 대비 다소 높은 편으로 설계되어 있습니다. 2026년 봉급표에서도 동일하게 3.5% 인상이 반영되었으나, 개별 직위와 책임 수준에 따라 체감 차이가 큽니다.



특히 전문경력관의 경우 호봉 개념보다는 직위 중심 보수가 강조되어, 동일 연차라도 직무 내용에 따라 봉급 차이가 발생할 수 있습니다.
- 연구직공무원: 연구 성과와 경력 중심 봉급
- 전문경력관: 직위·전문성 중심 보수 구조
- 공통점: 일반직 대비 유연한 보수 설계



2026년 공무원 봉급표 해석법(초보자용 체크포인트)
봉급표를 처음 보는 분들이 가장 많이 헷갈리는 지점은 “봉급=월급”으로 단정하는 부분입니다. 실제로 봉급표는 기본급(월 봉급액)만 보여주고, 실수령액을 좌우하는 요소는 수당, 공제, 근무형태, 지역, 직무 위험도 등으로 복합적으로 결정됩니다. 따라서 2026년 봉급표를 제대로 읽으려면 ‘내가 어디에 해당하는지’부터 명확히 잡고 들어가야 합니다. 일반직 기준이라면 9급~1급 중 어느 직급인지, 그리고 호봉이 몇 호봉인지가 출발점이며, 경찰·소방·교원·연구직은 별도 표를 보게 됩니다.


이때 같은 “9급”이라도 직군에 따라 표 자체가 다르기 때문에, 단순 비교는 오해를 만들 수 있습니다. 또한 봉급표는 월 기준이므로 연봉 감각으로 환산하려면 “봉급 x 12개월”이 기본이지만, 공무원은 정근수당, 명절휴가비, 성과상여금 등 정기성 급여가 별도로 존재해 총보수는 더 커집니다. 반대로 4대 보험 성격의 공제, 세금, 각종 기여금이 반영되면 체감 실수령은 내려갑니다.

봉급표 해석을 실무적으로 정리하면 “내 직군 봉급표에서 직급·호봉의 월 봉급을 찾고, 여기에 수당을 더한 뒤 공제를 빼서 실수령을 추정한다”로 요약됩니다. 특히 2026년은 2025년 대비 3.5% 인상이라는 큰 틀을 기억하되, 개별 금액은 원 단위 절삭이나 표 편제에 따라 보이는 값이 달라질 수 있어 최종 확인은 반드시 본인 적용 표에서 해야 합니다.
- 봉급표 확인 순서
-
- 본인 직군 확인: 일반직/경찰·소방/교원/군인/연구직/전문경력관 등
-
- 직급 확인: 9급~1급 또는 계급 체계(경찰·소방)
-
- 호봉 확인: 신규는 초임 호봉, 경력채용은 인정호봉 반영
-
- 월 봉급액 확인: 해당 칸의 숫자가 “기본급”
-
- 수당 더하기: 정근수당, 명절휴가비, 초과근무수당 등
-
- 공제 빼기: 세금, 연금 기여금, 건강보험 등
-
- 자주 발생하는 오해 포인트
- “봉급표 금액=실수령”이 아님
- 직군별 표가 달라 단순 비교가 위험함
- 같은 직급이라도 호봉 차이가 체감 격차를 만듦

봉급 인상률 3.5%가 체감으로 다르게 느껴지는 이유
같은 3.5% 인상이라도 저호봉은 인상액이 작게 느껴지고, 고호봉은 인상액 절대값이 커 보입니다. 또한 공제 항목은 봉급과 연동되는 경우가 많아 인상분이 그대로 실수령 증가로 이어지지 않을 수 있습니다. 실무적으로는 “기본급 상승 → 일부 수당 산정 기준 상승 → 공제 증가”가 동시에 일어나기 때문에 최종 체감은 개인별로 달라집니다.
2026년 봉급 인상의 의미와 한계

2026년 공무원 봉급 3.5% 인상은 최근 몇 년간의 물가 상승 흐름을 일정 부분 반영한 조치로 평가할 수 있습니다. 그러나 체감 임금 상승 효과는 개인별 상황에 따라 다르며, 주거비·교육비·생활비 상승률을 고려하면 여전히 부족하다는 의견도 존재합니다.
또한 봉급 인상은 국가 재정과 직결되는 사안이기 때문에 장기적으로는 재정 건전성과의 균형이 중요한 과제로 남아 있습니다. 단기적인 인상률에만 집중하기보다는 공무원 보수체계 전반의 합리성과 직무 가치 반영 구조를 함께 검토할 필요가 있습니다.






2026년 공무원 총보수(연봉) 구성요소 정리
공무원 보수는 봉급표의 숫자만으로 결론이 나지 않습니다. 현장에서 말하는 ‘연봉’은 기본급에 더해 정기적으로 지급되는 수당과 성과급이 포함된 총보수 개념에 가깝습니다. 특히 신규 공무원이나 수험생이 현실 감각을 잡기 위해서는 “월 봉급 외에 어떤 돈이 정기적으로 붙는지”를 이해하는 것이 중요합니다.



대표적으로 정근수당은 근속과 성실근무를 전제로 지급되며, 명절휴가비는 설·추석 등 특정 시점에 지급되는 형태로 체감 보수에 영향을 줍니다. 성과상여금은 기관과 개인 평가에 따라 변동성이 있어 고정급으로 보기 어렵지만, 해마다 큰 폭의 차이를 만들기도 합니다. 초과근무수당은 직무 성격과 부서, 시기(예산철·감사철·사건사고)에 따라 크게 달라져, 같은 직급이라도 실수령 격차가 발생하는 핵심 요인입니다.



반대로 공제는 “생각보다 많이 빠진다”는 체감이 자주 나오는 영역입니다. 연금 성격의 기여금, 건강보험료, 소득세 등이 월급명세서에서 빠져나가며, 가족 구성이나 부양가족 공제 여부에 따라 소득세 차이도 생깁니다. 그래서 현실적인 연봉 추정은 ‘봉급표 금액 x 12’로 단순 계산하기보다, 정기 수당과 공제까지 고려한 범위로 보는 것이 합리적입니다.
- 총보수(연봉)에 포함되는 대표 항목
- 기본급(봉급): 봉급표에 나오는 월 봉급액
- 정근수당: 근속·근무성적 기반 정기 지급
- 명절휴가비: 설·추석 등 지급
- 성과상여금: 평가 기반 변동 지급
- 초과근무수당: 시간외근무 발생 시 지급
- 직무 관련 수당: 위험근무, 특수업무, 현장근무 등
- 월 실수령에서 빠지는 대표 공제
- 세금: 소득세, 지방소득세
- 보험·기여금: 건강보험, 연금 기여금 등
- 기타 공제: 기관별 공제 항목 존재 가능



“월급”보다 “연 단위 총보수”로 보는 것이 유리한 이유
공무원 보수는 월급이 일정해 보이지만, 연 단위로 보면 정기수당과 성과급이 들어오는 구조라서 총액 기준으로 평가하는 편이 정확합니다. 특히 생활비 계획이나 대출 심사, 신용평가에서는 연 소득 개념이 더 직접적으로 활용되는 경우가 많아, 봉급표를 보더라도 연 단위로 재해석하는 습관이 필요합니다.



2026년 공무원 봉급표 Q&A(현실에서 가장 많이 묻는 질문)
봉급표 관련 문의는 매년 반복되지만, 질문의 핵심은 대체로 “나는 얼마나 오르나”, “실수령은 왜 적나”, “호봉은 어떻게 올라가나”로 모입니다. 2026년에도 3.5% 인상이라는 숫자 자체는 명확하지만, 개인별 적용 상황이 다르기 때문에 현장에서 체감 혼선이 생길 수밖에 없습니다. 특히 신규 임용자는 초임 호봉이 어디서 시작되는지, 경력채용자는 인정호봉이 어떻게 계산되는지에 따라 출발선이 달라집니다. 또한 직군별 봉급표가 따로 존재하기 때문에 일반직 봉급표만 보고 경찰·소방·교원·군인의 보수를 추정하는 실수도 자주 발생합니다.

또 하나의 포인트는 “호봉 상승=자동 급여 상승”이 맞지만, 그 폭이 언제나 동일하지 않다는 점입니다. 직급 승진이 동반되면 급격히 오르기도 하고, 같은 직급 내에서는 호봉 상승이 완만하게 느껴지기도 합니다. 따라서 본인의 커리어 설계를 할 때는 단순히 현재 봉급만 보는 것이 아니라 승진 구조와 보직 이동 가능성, 수당 구조까지 함께 보는 것이 합리적입니다.
- Q1. 2026년 봉급 인상률 3.5%면 월급도 무조건 3.5% 오르나요?
- 봉급(기본급) 기준으로는 3.5% 인상 반영이 원칙이지만, 실수령은 공제 증가와 수당 구조에 따라 체감이 다를 수 있습니다.
- Q2. 봉급표만 보면 실제 받는 돈이랑 차이가 큰데 왜 그런가요?
- 봉급표는 기본급만 표시합니다. 수당이 더해지고, 세금·기여금 등이 공제되면서 실수령이 달라집니다.
- Q3. 호봉은 매년 자동으로 오르나요?
- 일반적으로 근속에 따라 정기 승급이 이루어지며, 특정 사유(휴직, 징계 등)에 따라 승급이 조정될 수 있습니다.
- Q4. 같은 9급인데 왜 사람마다 월급이 다르죠?
- 호봉이 다르거나, 직군이 다르거나, 수당(초과근무, 직무수당) 차이가 반영되기 때문입니다.
- Q5. 직급이 오르면 봉급은 얼마나 차이 나나요?
- 직급 상승은 봉급표 구간 자체가 달라지는 구조라 체감 폭이 커질 수 있습니다. 다만 승진 이후 책임과 업무 강도도 함께 증가합니다.

봉급표를 “현실에 맞게” 활용하는 실무 팁
봉급표는 단독으로 보면 숫자표에 불과하지만, 본인 상황에 맞게 재해석하면 재무 계획의 기준선이 됩니다. 월 고정지출을 잡을 때는 실수령 기준으로, 연 단위 목표(저축·투자·대출 상환)는 총보수 기준으로 분리해 보는 것이 효율적입니다. 또한 같은 직급이라도 부서에 따라 초과근무가 크게 달라질 수 있으므로, 단순히 봉급만 보고 생활 수준을 예측하기보다는 “봉급+수당-공제”의 프레임으로 접근하는 것이 정확합니다.
결론

2026년 공무원 봉급표는 2025년 대비 3.5% 보수 인상이라는 명확한 방향성을 가지고 있으며, 기존 봉급체계의 틀을 유지한 채 전반적인 상향 조정이 이루어졌습니다. 일반직, 경찰·소방, 교원, 연구직 등 각 직군별로 적용 방식과 체감 효과에는 차이가 있으나, 공통적으로 안정성과 예측 가능성이라는 공무원 보수체계의 본질은 유지되고 있습니다. 향후에는 단순 인상률 논의를 넘어 직무 가치와 성과, 국민 체감 서비스 품질까지 함께 고려한 종합적인 보수 정책 논의가 필요할 것입니다.
'직장과 돈' 카테고리의 다른 글
| PBR 이란? (0) | 2026.01.17 |
|---|---|
| PER 이란? 뜻과 의미 - 주가수익비율로 보는 주식 가치평가 핵심 지표 (0) | 2026.01.17 |
| 서울 시내버스 총파업 무기한 돌입 (0) | 2026.01.13 |
| 교육공무원 봉급표 2026 교사 호봉표, 2026년 근가봉급표 (0) | 2026.01.11 |
| 공무원 승진소요최저연수 - 지방공무원 6급 근속승진 소요연수 기간 (0) | 2026.01.08 |