경찰 공무원 봉급표 2026 시보 월급
2026년 경찰공무원 봉급표를 확인하려는 분들이 가장 먼저 궁금해하는 지점은 두 가지입니다. 하나는 경찰 전체 계급별 기본급이 얼마나 되는지이고, 다른 하나는 막 임용된 순경 시보의 월급이 실제로 어느 정도 체감되는지입니다. 특히 경찰 봉급은 단순히 표에 적힌 숫자 하나로 끝나지 않습니다. 기본급은 봉급표로 확인할 수 있지만, 실제 월지급액은 정액급식비, 직급보조비, 위험근무 성격의 수당, 초과근무수당, 야간근무, 휴일근무 여부에 따라 체감 차이가 커지기 때문입니다. 그래서 2026 경찰공무원 봉급표를 볼 때는 단순히 순경 1호봉 숫자만 보는 것이 아니라, 승진에 따른 계급 변화와 호봉 상승, 그리고 시보 시기의 월급 구조를 함께 이해해야 실제 체감에 가까운 판단이 가능합니다.

이번 글에서는 개정된 경찰 공무원 봉급표2026을 기준으로 경찰공무원 계급별 월 기본급 흐름을 정리하고, 많은 분들이 검색하는 순경 시보 월급의 해석 포인트까지 한 번에 정리해보겠습니다.
경찰 공무원 봉급표2026을 볼 때 먼저 알아둘 점
경찰공무원 봉급표2026는 계급과 호봉이 함께 움직이는 구조입니다.

즉 같은 순경이라도 1호봉과 10호봉의 월 기본급이 다르고, 같은 10호봉이라도 순경과 경장, 경사, 경위의 기본급은 각각 다르게 책정됩니다. 따라서 “경찰 월급이 얼마냐”라는 질문에는 하나의 정답만 존재하지 않습니다. 초임인지, 근속연수가 얼마나 되는지, 어느 계급인지에 따라 기본급이 달라지고, 여기에 수당 구조가 합쳐져 실제 월지급액이 정해집니다.
이 부분을 먼저 정리하면 이해가 쉬워집니다.
- 봉급표에 적힌 금액은 기본급 중심의 월 지급 기준입니다.
- 경찰 월급은 기본급만으로 확정되지 않습니다.
- 시보라고 해도 실무상 관심사는 초임 순경이 받는 월지급액입니다.
- 같은 계급이어도 호봉이 오르면 월급이 올라갑니다.
- 승진하면 계급 자체가 바뀌면서 기본급 체계도 달라집니다.
즉, 2026 경찰공무원 봉급표는 “계급별 출발선”과 “근속에 따른 상승폭”을 보여주는 자료라고 이해하시면 됩니다. 특히 경찰은 순경으로 시작해 경장, 경사, 경위, 경감, 경정, 총경 이상으로 올라가는 구조이기 때문에, 초임 월급만 볼 것이 아니라 장기근속 시 임금 곡선이 어떻게 전개되는지도 함께 살펴볼 필요가 있습니다.



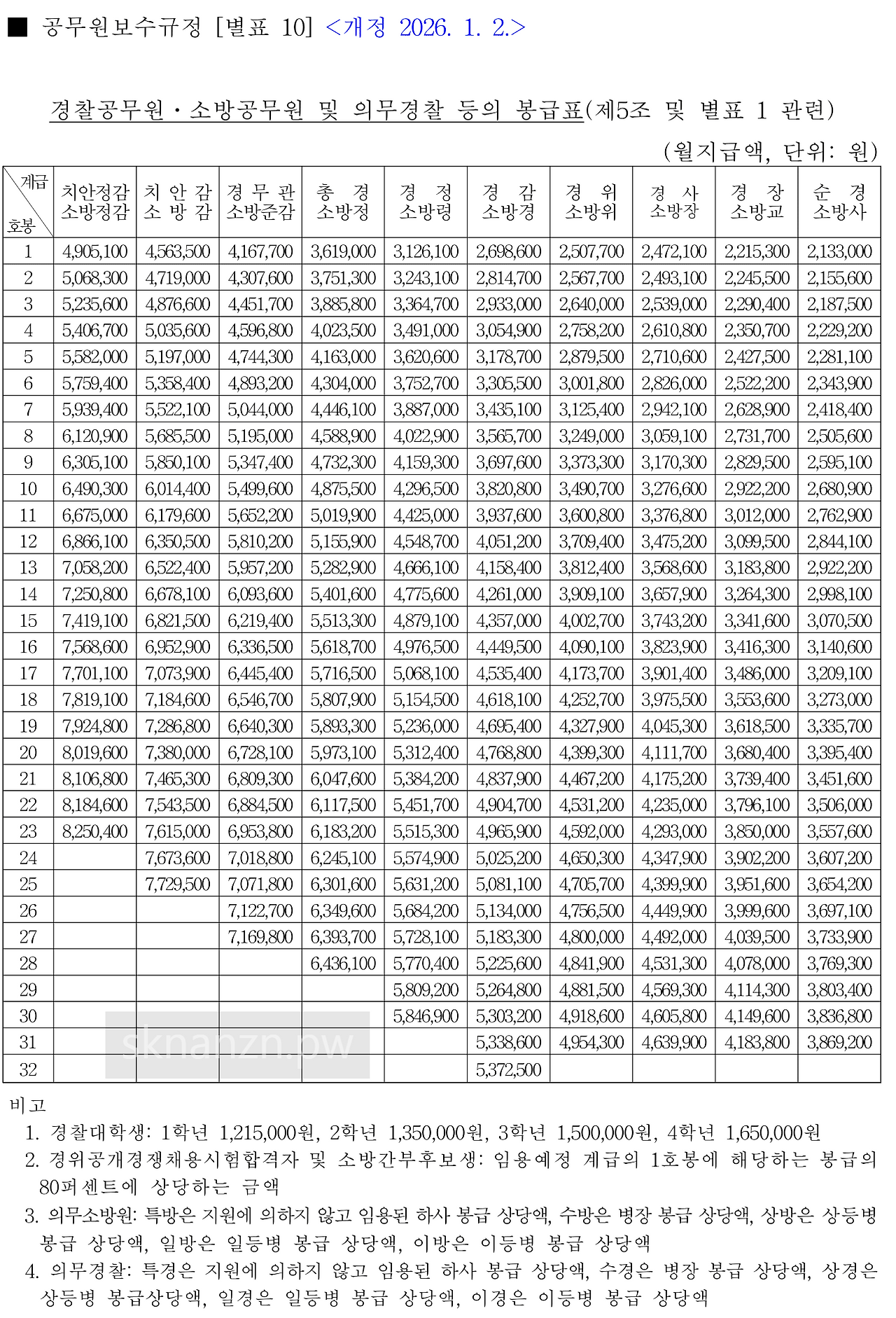
2026 경찰공무원 계급별 1호봉 기본급
가장 많이 검색되는 구간은 각 계급의 1호봉입니다. 처음 해당 계급에 진입했을 때 얼마에서 시작하는지를 보여주기 때문입니다. 2026년 봉급표 기준 경찰공무원 계급별 1호봉 월 기본급은 다음과 같습니다.
- 치안정감 4,905,100원
- 치안감 4,563,500원
- 경무관 4,167,700원
- 총경 3,619,000원
- 경정 3,126,100원
- 경감 2,698,600원
- 경위 2,507,700원
- 경사 2,472,100원
- 경장 2,215,300원
- 순경 2,133,000원
이 숫자만 보더라도 2026년 기준 초임 순경의 월 기본급은 213만 3천원이라는 점이 분명해집니다. 다만 여기서 오해하면 안 되는 부분이 있습니다. 순경 1호봉 213만 3천원은 기본급 기준의 출발값이지, 곧바로 통장에 찍히는 실수령액과 동일한 숫자는 아닙니다. 실제 현장에서는 각종 수당이 더해지고, 동시에 연금과 보험, 세금 등의 공제 항목이 반영되기 때문입니다. 그래서 순경 시보 월급을 물을 때는 “기본급 213만 3천원에서 시작해 수당과 공제를 거친다”는 방식으로 이해하는 것이 가장 정확합니다.
2026 경찰공무원 주요 호봉 구간별 월급 흐름
초임만 보면 체감이 제한적이기 때문에, 실제로 많이 참고하는 5호봉, 10호봉, 20호봉 구간도 함께 보는 것이 좋습니다. 그래야 경찰직의 장기적인 보수 흐름을 입체적으로 파악할 수 있습니다.
5호봉 기준
계급별 5호봉 월 기본급은 다음과 같습니다.
- 치안정감 5,582,000원
- 치안감 5,197,000원
- 경무관 4,744,300원
- 총경 4,163,000원
- 경정 3,620,600원
- 경감 3,178,700원
- 경위 2,879,500원
- 경사 2,710,600원
- 경장 2,427,500원
- 순경 2,281,100원
이 구간은 초임 적응기를 지나 실무 경험이 쌓이기 시작하는 시점으로 해석할 수 있습니다. 순경 기준으로만 보더라도 1호봉 213만 3천원에서 5호봉 228만 1,100원으로 상승합니다. 절대액만 보면 크지 않아 보일 수 있지만, 실제 체감은 여기에 수당 구조가 더해지면서 조금 더 넓어집니다. 특히 현장근무 비중이 높고 초과근무가 잦은 부서라면, 기본급 상승 이상으로 월지급액 차이가 발생할 수 있습니다.


10호봉 기준
10호봉 구간은 경찰공무원 월급을 비교할 때 매우 많이 인용되는 기준입니다.
- 치안정감 6,490,300원
- 치안감 6,014,400원
- 경무관 5,499,600원
- 총경 4,875,500원
- 경정 4,296,500원
- 경감 3,820,800원
- 경위 3,490,700원
- 경사 3,276,600원
- 경장 2,922,200원
- 순경 2,680,900원
10호봉이 되면 순경도 기본급 기준으로 월 268만 900원까지 올라갑니다. 물론 실제로는 승진 여부가 함께 반영되기 때문에, 상당수는 이미 경장이나 경사, 경위 구간으로 이동해 있을 가능성이 큽니다. 그래서 현실적으로는 “순경 10호봉 얼마냐”를 보는 것도 의미가 있지만, “경장 또는 경사로 승진했을 때 같은 시기에 어느 정도 수준이냐”를 함께 봐야 보수 구조를 더 정확하게 읽을 수 있습니다.
20호봉 기준
장기근속 관점에서는 20호봉이 중요한 비교 기준입니다.
- 치안정감 8,019,600원
- 치안감 7,380,000원
- 경무관 6,728,100원
- 총경 5,973,100원
- 경정 5,312,400원
- 경감 4,768,800원
- 경위 4,399,300원
- 경사 4,111,700원
- 경장 3,680,400원
- 순경 3,395,400원
20호봉까지 가면 기본급만 놓고 보더라도 초임과의 격차가 상당히 커집니다. 그러나 경찰은 단순 호봉직이라기보다 승진 구조가 함께 작동하는 조직이므로, 장기적으로는 계급 상승과 호봉 상승이 중첩되는 것이 보통입니다. 따라서 경찰공무원 월급을 제대로 보려면 “호봉”과 “계급”을 분리해서 보지 말고 동시에 보셔야 합니다.


2026 순경 시보 월급은 얼마로 이해해야 할까
많은 분들이 검색창에 “순경 시보 월급”이라고 입력하지만, 실제로는 “시보 상태의 초임 경찰이 얼마를 받느냐”를 묻는 경우가 대부분입니다. 이 질문에 대해 가장 핵심적인 답은 다음과 같습니다. 2026년 기준으로 초임 순경이 참고할 기본급 출발선은 순경 1호봉 2,133,000원입니다. 즉 시보 시기의 기본급 판단 기준은 이 숫자에서 출발한다고 보는 것이 가장 실무적입니다.
다만 여기서 반드시 짚어야 할 포인트가 있습니다.
- 시보는 별도의 독립 계급이라기보다 임용 초기 상태를 의미하는 경우가 많습니다.
- 따라서 봉급표를 볼 때는 보통 순경 1호봉을 기준으로 이해합니다.
- 실제 지급액은 근무 부서와 발령지, 초과근무 여부에 따라 달라집니다.
- 현장근무 비중이 높은 경우 체감 월급은 기본급보다 높아질 수 있습니다.
- 반대로 공제액이 반영되면 통장 실수령액은 표기 금액보다 낮아집니다.
결국 “2026 순경 시보 월급”을 한 줄로 말하면, 기본급은 월 213만 3천원 기준으로 보고, 실제 체감 월급은 수당과 공제 구조에 따라 달라진다고 정리하는 것이 가장 정확합니다. 인터넷에서 어떤 글은 초임 경찰 월급을 단정적으로 얼마라고 써놓기도 하지만, 그 숫자가 모든 신규 경찰에게 똑같이 적용되는 것은 아닙니다. 지구대, 파출소, 기동, 행정, 교대근무 여부에 따라 야간과 시간외, 특정 업무 성격의 수당 차이가 생기기 때문입니다.

순경 시보 월급이 기본급보다 달라지는 이유
초임 경찰이 체감하는 월급은 봉급표 숫자 하나로 설명되지 않습니다. 이 차이를 만드는 핵심은 수당과 공제입니다. 특히 경찰은 일반 행정보다 현장 대응, 교대근무, 위험업무 성격이 강한 편이어서 수당 체계가 체감 월급에 미치는 영향이 적지 않습니다.

순경 시보 월급을 달라지게 만드는 대표 요소는 다음과 같습니다.
- 정액급식비
- 직급보조비
- 초과근무수당
- 야간근무수당
- 휴일근무수당
- 위험업무 성격에 따른 수당
- 근무 부서별 가산 요소
- 가족수당 등 개인별 가계보전성 수당
- 공무원연금 관련 공제
- 건강보험 등 4대 보험 성격 공제
- 소득세와 지방소득세
즉, 같은 날 임용된 두 명의 순경이라도 실제 월급은 같지 않을 수 있습니다. 기본급은 같더라도 어느 부서에서 어떤 패턴으로 근무하느냐에 따라 시간외와 야간 가산분이 달라질 수 있고, 개인별 공제 조건도 달라질 수 있기 때문입니다. 그래서 초임 경찰 월급을 현실적으로 볼 때는 “기본급 213만 3천원 + 각종 수당 - 공제”라는 구조를 떠올리시면 됩니다.
경찰 계급별 상한 호봉과 구조도 함께 봐야 하는 이유
경찰 봉급표는 단순한 1호봉 비교표가 아닙니다. 각 계급마다 적용 가능한 호봉 구간이 다르고, 상위 계급일수록 적용 호봉 수가 상대적으로 짧은 경우가 있습니다. 이를 이해하면 장기적인 급여 흐름을 보는 데 도움이 됩니다.
2026 봉급표를 기준으로 살펴보면 다음과 같은 특징을 확인할 수 있습니다.
- 순경은 31호봉까지 확인됩니다.
- 경장은 31호봉까지 확인됩니다.
- 경사는 31호봉까지 확인됩니다.
- 경위는 31호봉까지 확인됩니다.
- 경감은 32호봉까지 확인됩니다.
- 경정은 30호봉까지 확인됩니다.
- 총경은 28호봉까지 확인됩니다.
- 경무관은 27호봉까지 확인됩니다.
- 치안감은 25호봉까지 확인됩니다.
- 치안정감은 23호봉까지 확인됩니다.
이 구조는 매우 중요합니다. 하위직급은 장기적으로 호봉 누적 폭이 넓고, 상위직급은 기본급 자체가 높지만 호봉표 길이는 상대적으로 짧습니다. 따라서 장기간 재직할수록 단순 계급 비교가 아니라 승진 시점과 호봉 progression을 함께 고려해야 실제 급여 경로가 보입니다.


2026 봉급표 기준으로 본 계급별 체감 비교 포인트
경찰공무원을 준비하는 수험생이나 보호자, 또는 현직 이직 검토자 입장에서는 단순히 “순경 월급 얼마”만 보는 경우가 많습니다. 하지만 현실적인 판단을 위해서는 다음 포인트를 함께 보는 편이 훨씬 낫습니다.
초임 기준 비교
초임 기준에서는 순경 1호봉 213만 3천원이 출발선입니다. 같은 시점에서 경장 1호봉은 221만 5,300원, 경사 1호봉은 247만 2,100원, 경위 1호봉은 250만 7,700원입니다. 이 구간만 놓고 봐도 계급이 한 단계씩 올라갈 때 기본급이 누적적으로 상승하는 구조가 분명합니다.
실무 중견 구간 비교
10호봉 안팎에서는 순경 268만 900원, 경장 292만 2,200원, 경사 327만 6,600원, 경위 349만 700원으로 차이가 커집니다. 이 시기에는 단순 근속보다 승진 여부가 월급 체감에 미치는 영향이 더 커지는 경우가 많습니다.
장기근속 구간 비교
20호봉 안팎으로 가면 순경 339만 5,400원, 경장 368만 400원, 경사 411만 1,700원, 경위 439만 9,300원으로 격차가 더 벌어집니다. 이 때문에 경찰 보수 구조는 “초임은 생각보다 비슷해 보여도, 시간 경과와 승진이 쌓일수록 차이가 커지는 체계”라고 이해하는 것이 맞습니다.
경찰대학생과 간부후보생 보수도 함께 알아두면 좋은 이유
봉급표 하단 비고를 보면 일반 경찰공무원 외에도 경찰대학생과 후보생 관련 기준이 함께 제시됩니다. 이것도 2026 경찰공무원 월급을 이해하는 데 도움이 됩니다. 왜냐하면 경찰 조직 내 보수 체계가 신규 인력 양성과정과 어떻게 연결되는지 보여주기 때문입니다.



정리하면 다음과 같습니다.
- 경찰대학생 1학년 1,215,000원
- 경찰대학생 2학년 1,350,000원
- 경찰대학생 3학년 1,500,000원
- 경찰대학생 4학년 1,650,000원
- 경위공개경쟁채용시험 합격자 및 소방간부후보생은 임용예정 계급 1호봉 봉급의 80퍼센트 상당액
이 수치는 일반적인 순경 공채 출발선과는 결이 다릅니다. 즉 경찰 진입 경로에 따라 초기 보수 체감이 다를 수 있다는 의미입니다. 다만 다수 수험생이 궁금해하는 “순경 시보 월급”은 여전히 순경 1호봉 기준 해석이 핵심입니다.
2026 경찰공무원 봉급표를 현실적으로 해석하는 방법
봉급표를 보는 가장 현실적인 방법은 숫자를 세 단계로 나눠 이해하는 것입니다. 첫째는 기본급, 둘째는 수당, 셋째는 공제입니다. 이 세 가지를 분리해서 봐야 과장도 줄고 실망도 줄어듭니다. 봉급표만 보면 기대보다 낮다고 느낄 수 있고, 반대로 일부 수당 사례만 보면 지나치게 높게 기대할 수 있습니다. 실제 월급은 두 극단의 중간에서 결정됩니다.
그래서 2026 경찰공무원 월급을 정리하면 다음과 같은 문장이 가장 정확합니다.
- 순경 1호봉 기본급은 2,133,000원입니다.
- 순경 시보 월급은 보통 이 기본급을 기준으로 이해합니다.
- 실제 월지급액은 수당이 붙으면서 달라집니다.
- 실수령액은 공제 후 금액이므로 기본급과 동일하지 않습니다.
- 부서와 근무형태에 따라 같은 초임 경찰도 체감 월급이 다를 수 있습니다.
이 구조를 알고 보면 경찰공무원 봉급표는 훨씬 읽기 쉬워집니다. 막연히 “얼마 받는다”가 아니라, “기본급은 이 정도이고 실제 체감은 업무 강도와 수당에 따라 달라진다”는 프레임이 생기기 때문입니다.
결론


2026 경찰공무원 봉급표에서 가장 중요한 숫자는 초임 기준으로 순경 1호봉 2,133,000원입니다. 그리고 많은 분들이 찾는 순경 시보 월급도 사실상 이 기본급을 출발점으로 이해하는 것이 가장 자연스럽습니다. 다만 경찰 월급은 봉급표 숫자 하나로 끝나는 구조가 아닙니다. 정액급식비, 직급보조비, 현장성 수당, 초과근무, 야간과 휴일근무, 각종 공제가 더해지고 빠지면서 실제 체감 월급이 형성됩니다. 따라서 2026 경찰공무원 월급을 볼 때는 순경 1호봉만 보는 것이 아니라, 계급별 호봉 흐름과 수당 구조까지 함께 보는 것이 정확합니다. 초임 단계에서는 기본급의 의미를 이해하는 것이 중요하고, 중장기적으로는 승진과 호봉 누적이 얼마나 큰 차이를 만드는지도 살펴봐야 합니다. 결국 경찰공무원 보수는 단순한 숫자 한 줄이 아니라, 계급 체계와 근무 여건이 결합된 보수 시스템으로 읽어야 현실에 가장 가깝습니다.
'직장과 돈' 카테고리의 다른 글
| 군마트 인기상품 PX 화장품 정리 (0) | 2026.03.14 |
|---|---|
| 교사 교육 공무원 정년연장 65세 시행 시기 (0) | 2026.03.11 |
| 건강보험 보수총액신고기간 | 국민연금 고용산재 보수총액 신고 방법 (0) | 2026.03.06 |
| 편지봉투 주소쓰는법 (0) | 2026.03.03 |
| 오늘 금값 18K 금시세 1돈 가격 (0) | 2026.03.02 |